I wanted to bring to your attention, the conduct of the Trustee in my case. At the conversion hearing, we were told that the Neil Gordon was best suited to deal with the proper administration of this case.
Began storeitorsellit.com, but would first need to go to Chile to pay off creditors. Can do one or the other, sell in Chile or operate this business at Liberty Road.
Left for Chile to sell several properties, my attorney says kick but don't worry I will take care of things here"
We had enough sales to pay all past debt but my attorney advised me not to sell so many at such a low price
Billed by the Chaper 7 Trustee $11,848.00 plus, for a twenty minute meeting of creditors? It was my understanding that my attorney was to object to this but did not. compensation1.pdfcompensation2.PDF
Went directly from Santiago to La Serena where I was met at the airport by Patricio Alvia and Christian Mayer. These individuals along with other realtors had buyers that intended buying several lots of this subdivision. Advance work had ben done in a topography that would be paid to Alvia and Mayer at the time of sale of the properties.
Tasks needed to accomplish first sales.
Proof of ownership, recorded deed
Inscription with the internal revenue service Chile Retrival of ROL's
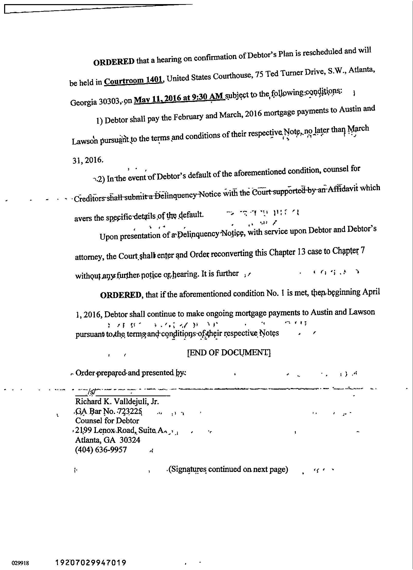
Debtor shall pay Febuaray and March 2016 mortgage payments to Austin and Lawson no later than March 31, 2016, Hearing set for may 11 2016, we did as requsted.